Сайт проектировщиков
Авторизоваться
Форум
Закупки
Блоги
Скачать
Библиотека
Галерея
Объявления
Организации
Новости
Программы
Кунсткамера
Вакансии
Резюме
DWG
»
Объявления
»
Требуются услуги
»
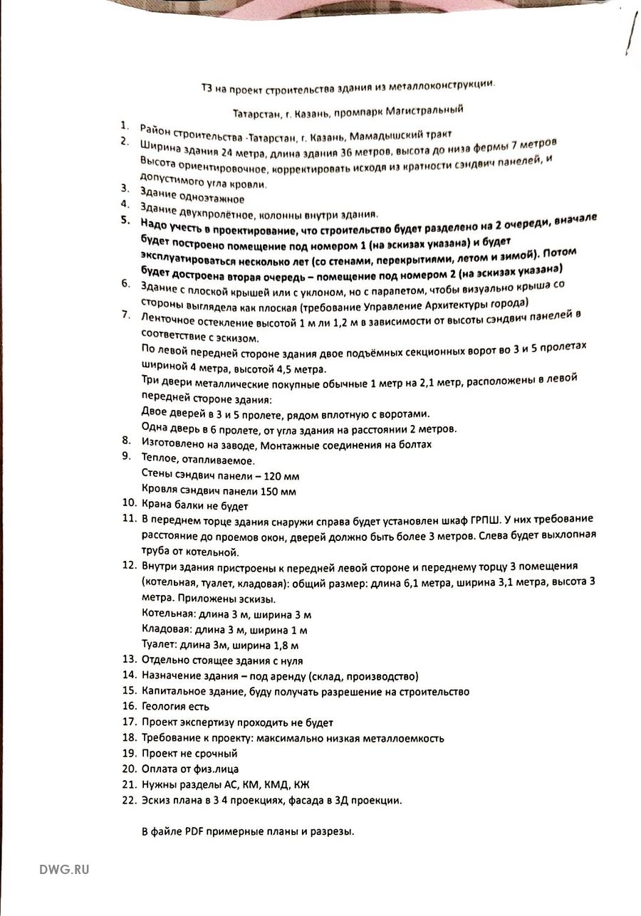
Проект КМ, КЖ, АС, КМД металлоконструкции ангара 24х36х7
Подать объявление
Проект КМ, КЖ, АС, КМД металлоконструкции ангара 24х36х7
+795XXXXXXXXX
показать номер
Написать сообщение
Ришат
размещено: 19 Октября 2025
обновлено: 22 Января 2026
Проект КМ, КЖ, АС, КМД металлоконструкции ангара 24х36х7
Снеговой район 4
Ветровой район 2
Регион строительства Татарстан, г. Казань.
Написать сообщение
Вы не авторизованы.
Авторизоваться